Công thức nguyên hàm là nền tảng quan trọng trong chương trình giải tích, giúp học sinh và người học xử lý nhiều dạng toán từ cơ bản đến nâng cao. Khi nắm chắc hệ thống công thức, bạn sẽ rút ngắn thời gian làm bài, hạn chế sai sót và hiểu rõ bản chất của phép tìm hàm số gốc. Tuy vậy, muốn áp dụng hiệu quả, người học không nên chỉ học thuộc máy móc mà cần hiểu điều kiện sử dụng, cách biến đổi biểu thức và những lỗi rất dễ mắc khi làm bài.
Công thức nguyên hàm và vai trò trong giải tích
Khái niệm nguyên hàm cần hiểu đúng ngay từ đầu
Trong giải tích, nguyên hàm của một hàm số là hàm số mà đạo hàm của nó trả lại biểu thức ban đầu trên một khoảng xác định. Nói cách khác, nếu F'(x) = f(x) thì F(x) được gọi là nguyên hàm của f(x), và mọi nguyên hàm chỉ khác nhau một hằng số C. Khi học Công thức nguyên hàm, người học cần ghi nhớ bản chất này để tránh nhầm nguyên hàm với phép tính đạo hàm ngược theo kiểu máy móc.
Việc hiểu đúng khái niệm sẽ giúp bạn nhận ra vì sao kết quả cuối cùng luôn phải có “+ C”. Đây không phải chi tiết phụ, mà là phần bắt buộc thể hiện đầy đủ họ nguyên hàm của một hàm số. Nếu bỏ quên hằng số, bài làm có thể bị xem là chưa hoàn chỉnh dù các bước biến đổi trước đó đều đúng.
Vì sao cần nắm hệ thống công thức cơ bản

Trong quá trình học, số lượng dạng bài nguyên hàm khá phong phú, từ đa thức, phân thức, lượng giác đến hàm mũ và logarit. Nếu không có nền tảng từ các công thức chuẩn, bạn sẽ mất nhiều thời gian biến đổi hoặc không biết bắt đầu từ đâu. Vì vậy, Công thức nguyên hàm đóng vai trò như bộ công cụ gốc để xử lý nhanh những biểu thức quen thuộc.
Ngoài việc phục vụ kiểm tra và thi cử, kiến thức này còn liên quan trực tiếp đến tích phân, diện tích hình phẳng, thể tích khối tròn xoay và nhiều ứng dụng thực tế khác. Khi hiểu công thức theo nhóm, bạn sẽ dễ liên kết giữa các phần kiến thức hơn so với học từng dòng rời rạc. Đây cũng là cách giúp việc ghi nhớ lâu hơn và sử dụng linh hoạt hơn.
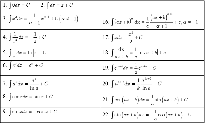
Công thức nguyên hàm thường gặp cần ghi nhớ
Nhóm đa thức, lũy thừa và phân thức đơn giản
Nhóm công thức đầu tiên thường xuất hiện nhiều nhất là nguyên hàm của xn, với điều kiện n khác -1. Khi đó, nguyên hàm được tính bằng x(n+1) chia cho n+1, rồi cộng hằng số C. Bên cạnh đó, các biểu thức như nguyên hàm của 1/x, của hằng số hoặc của tổng nhiều hạng tử cũng là phần cốt lõi trong Công thức nguyên hàm mà người học cần thuộc thật chắc.
Điều quan trọng là phải chú ý điều kiện đi kèm từng công thức. Chẳng hạn, nguyên hàm của 1/x không thể áp dụng theo quy tắc lũy thừa thông thường mà phải chuyển sang ln|x| + C. Nhiều lỗi sai trong bài kiểm tra đến từ việc học sinh áp dụng đúng hình thức nhưng sai điều kiện, khiến kết quả cuối cùng mất điểm đáng tiếc.
Nhóm hàm mũ, logarit và lượng giác

Sau nhóm cơ bản, người học cần làm quen với nguyên hàm của ex, ax, sin x, cos x, sec2 x hoặc 1/(1+x2). Đây là những biểu thức xuất hiện rất nhiều trong đề thi vì có thể kết hợp với đổi biến hoặc biến đổi đại số. Nếu nắm vững Công thức nguyên hàm ở nhóm này, bạn sẽ xử lý nhanh hơn các bài toán có cấu trúc quen thuộc.
Một điểm cần lưu ý là nhiều hàm lượng giác có dấu rất dễ nhầm. Ví dụ, nguyên hàm của sin x là -cos x + C, còn nguyên hàm của cos x là sin x + C. Tương tự, nguyên hàm của 1/(1+x^2) là arctan x + C, chứ không phải một biểu thức logarit như nhiều bạn thường lẫn khi học nhanh.
Cách áp dụng công thức nguyên hàm cho đúng dạng bài
Nhận diện cấu trúc biểu thức trước khi tính
Trước khi đặt bút tính, bạn nên quan sát kỹ biểu thức để xác định nó thuộc dạng nào: dạng cơ bản, dạng cần tách nhỏ, dạng phải đổi biến hay dạng cần dùng tính tuyến tính. Thói quen nhận diện cấu trúc giúp bạn tránh áp dụng công thức sai chỗ. Đây cũng là bước quan trọng để việc dùng Công thức nguyên hàm trở nên chính xác thay vì chỉ dựa vào cảm tính.
Ví dụ, với một tổng gồm nhiều hạng tử, bạn nên tách thành tổng các nguyên hàm riêng. Với biểu thức có mẫu là x hoặc x^2+1, hãy kiểm tra ngay xem có liên hệ đến ln|x| hay arctan x hay không. Việc nhìn ra “dấu hiệu nhận biết” của mỗi dạng sẽ giúp tốc độ làm bài tăng lên đáng kể, đặc biệt trong các bài kiểm tra có áp lực thời gian.
Kết hợp biến đổi đại số và đổi biến hợp lý

Không phải biểu thức nào cũng xuất hiện đúng nguyên dạng trong bảng công thức. Nhiều bài toán yêu cầu rút gọn, phân tích hoặc đặt ẩn phụ trước khi áp dụng. Vì vậy, khi học Công thức nguyên hàm, bạn cần hiểu rằng công thức chỉ phát huy hiệu quả khi đi cùng kỹ năng biến đổi biểu thức.
Chẳng hạn, một biểu thức dạng (2x+1)^5 sẽ dễ xử lý hơn nếu đặt t = 2x+1. Tương tự, với phân thức hoặc biểu thức chứa căn, việc quy đổi về dạng đơn giản hơn thường quyết định thành công của cả bài toán. Người học giỏi nguyên hàm không phải người thuộc nhiều nhất, mà là người biết chọn đúng hướng biến đổi trước khi sử dụng công thức.
Những lưu ý quan trọng khi sử dụng công thức nguyên hàm
Không quên hằng số C và điều kiện xác định
Một trong những lỗi phổ biến nhất là làm đúng toàn bộ phép tính nhưng quên cộng hằng số C ở kết quả cuối. Sai sót này tưởng nhỏ nhưng lại ảnh hưởng trực tiếp đến tính đầy đủ của lời giải. Khi dùng Công thức nguyên hàm, bạn nên xem “+ C” là phần bắt buộc, giống như dấu bằng trong một phép biến đổi hoàn chỉnh.
Bên cạnh đó, điều kiện xác định của hàm số cũng rất quan trọng. Với các công thức liên quan đến logarit hoặc mẫu số, nếu không để ý miền xác định, bạn có thể viết ra một kết quả nhìn có vẻ đúng nhưng thực chất thiếu chặt chẽ. Đây là điểm thường tạo ra khác biệt giữa một bài làm trung bình và một bài làm có tư duy toán học tốt.
Tránh học thuộc máy móc và nhầm lẫn với đạo hàm
Nhiều bạn cố ghi nhớ thật nhiều công thức nhưng lại không hiểu vì sao công thức đó đúng, dẫn đến việc dễ quên hoặc dùng sai trong tình huống biến đổi nhẹ. Cách học hiệu quả hơn là đối chiếu nguyên hàm với đạo hàm để tự kiểm tra ngược kết quả. Nhờ vậy, Công thức nguyên hàm sẽ được ghi nhớ theo logic thay vì chỉ dựa vào trí nhớ ngắn hạn.
Ngoài ra, cần phân biệt rõ giữa công thức nguyên hàm và công thức đạo hàm tương ứng. Có những cặp biểu thức rất giống nhau nhưng khác dấu, khác hệ số hoặc khác điều kiện áp dụng. Nếu bạn thường xuyên kiểm tra lại bằng cách lấy đạo hàm của kết quả vừa tìm được, khả năng sai sót sẽ giảm đi rất nhiều.
Kết luận về công thức nguyên hàm và cách học hiệu quả
Công thức nguyên hàm không chỉ là phần kiến thức cần học thuộc mà còn là công cụ nền tảng để giải nhiều bài toán giải tích quan trọng. Muốn sử dụng tốt, người học cần đi từ hiểu khái niệm, nắm nhóm công thức cơ bản, biết nhận diện dạng toán và luôn chú ý đến hằng số C cũng như điều kiện xác định tại daylaixehanoi.
Khi học theo hướng hệ thống và luyện tập đều đặn, bạn sẽ thấy nguyên hàm không còn là phần quá khó hay dễ nhầm như ban đầu. Điều quan trọng nhất là đừng học rời rạc từng dòng công thức, mà hãy gắn mỗi công thức với dạng bài cụ thể, cách biến đổi tương ứng và thói quen kiểm tra lại bằng đạo hàm để đạt hiệu quả bền vững.
